CB- Radio
Moderator: Moderatorzy
- Jamszoł
- Posty: 22193
- Rejestracja: 29 lip 2006, 01:17
- Lokalizacja: Kalisz
- Pojemność: 2300
- Rocznik: 2008
- Generacja: MK4
- Nadwozie: Kombi
- Kontakt:
Podstawowa czterdziestka
Oprócz tego , że niektóre radja mają przełącznik + 5 kHz to jeszcze niektóre mają przełącznik + 10 kHz - po to , żeby radio mogło pracować w tak zwanych " Dziurach "
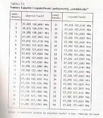
Co to takiego - ano przypatrzcie się wykazowi częstotliwości a w szczególności częstotliwością między kanałami 3-4 ; 11-12 ; 15-16 ; 19-20 - odległość jest tu nie co 10 ale co 20 kHz i wtedy można wejść w te nie widoczne kanały.
Związane jest to z tym , że kiedyś nie było radji z syntezą częstotliwości tylko były radia na kwarcach i kombinacja załączania kwarcy dawała odpowiednie kanały.
Natomiast tych kanałów było 21.
Popatrzcie co się dzieje z częstotliwościami kanałów od 22-26.
Niestety nie dało się inaczej pogodzić rozbudowy pasma i radyjek CB .
Oczywiście porządne radia mają przełączanie nie po kanałach ale po częstotliwościach i to płynnie i nie są potrzebne żadne takie pstryczki.
Radia te mogą pracowaś nie tylko w Aemach i Efemach ale także w w modulacji SSB czyli modulacji jednowstęgowej.
Co to takiego - ano przypatrzcie się wykazowi częstotliwości a w szczególności częstotliwością między kanałami 3-4 ; 11-12 ; 15-16 ; 19-20 - odległość jest tu nie co 10 ale co 20 kHz i wtedy można wejść w te nie widoczne kanały.
Związane jest to z tym , że kiedyś nie było radji z syntezą częstotliwości tylko były radia na kwarcach i kombinacja załączania kwarcy dawała odpowiednie kanały.
Natomiast tych kanałów było 21.
Popatrzcie co się dzieje z częstotliwościami kanałów od 22-26.
Niestety nie dało się inaczej pogodzić rozbudowy pasma i radyjek CB .
Oczywiście porządne radia mają przełączanie nie po kanałach ale po częstotliwościach i to płynnie i nie są potrzebne żadne takie pstryczki.
Radia te mogą pracowaś nie tylko w Aemach i Efemach ale także w w modulacji SSB czyli modulacji jednowstęgowej.
Oczy 6.11.2010/15.01.2020 [ 28.08.2012_16.30 ]
-
Tfaruk
- Jamszoł
- Posty: 22193
- Rejestracja: 29 lip 2006, 01:17
- Lokalizacja: Kalisz
- Pojemność: 2300
- Rocznik: 2008
- Generacja: MK4
- Nadwozie: Kombi
- Kontakt:
Po pierwsze - czy to była antena CB czy może antena na 2 m lub 70 cm - czyli do radia krótkofalarskiego ?
Jeśli to była antena o długości ok 50 cm do CB to miała dużo większą cewkę skracającą.
Cewki skracające są przy każdej antenie bo pasmo CB to 11 m - trudno jeździć z anteną 11 metrową .
Zasada jest prosta - im dłuższy bat anteny tym lepiej łapie fale elektromagnetyczną - szczególnie w terenie zabudowanym i górzystym .
Oczywiście z zachowaniem proporcjonalności co do długości bata anteny do długości fali - 11 m.
Pisałem o tym wcześniej - zestrojenie anteny polega na tym aby antena wypromieniowała wszystko co do niej wlezie w jedną stronę i weszła w rezonans przy odbiorze fali elektromagnetycznej z zakresu 11 m a nie 12 czy 5 - ponieważ zamiast zbierać sygnał z CB bedzie odbierać wszystkie zakłucenia wokół i przekazywać do przedwzmacniacza w odbiorniku radia.
Można się pogodzić na upartego ze złym odbiorem ale gdy nadajemy - antena musi całą moc podaną z końcówki mocy wypromieniować - jeśli tego nie zrobi moc z nadajnika wruci się po kablu spowrotem a wtedy spalimy końcówkę mocy.
Porównać to można z pompą wody - która przystosowana jest do podbicia wody na 2 metry a my chcemy podbić wodę na 10 metrów - pompa niby poda wodę na tą wysokość ale ciśnienia nie będzie a po czasie pompę szlak trafi.
.
IM DŁóŻSZA ANTENA TYM LEPSZY ODBIóR I NADAWANIE .
Jeśli to była antena o długości ok 50 cm do CB to miała dużo większą cewkę skracającą.
Cewki skracające są przy każdej antenie bo pasmo CB to 11 m - trudno jeździć z anteną 11 metrową .
Zasada jest prosta - im dłuższy bat anteny tym lepiej łapie fale elektromagnetyczną - szczególnie w terenie zabudowanym i górzystym .
Oczywiście z zachowaniem proporcjonalności co do długości bata anteny do długości fali - 11 m.
Pisałem o tym wcześniej - zestrojenie anteny polega na tym aby antena wypromieniowała wszystko co do niej wlezie w jedną stronę i weszła w rezonans przy odbiorze fali elektromagnetycznej z zakresu 11 m a nie 12 czy 5 - ponieważ zamiast zbierać sygnał z CB bedzie odbierać wszystkie zakłucenia wokół i przekazywać do przedwzmacniacza w odbiorniku radia.
Można się pogodzić na upartego ze złym odbiorem ale gdy nadajemy - antena musi całą moc podaną z końcówki mocy wypromieniować - jeśli tego nie zrobi moc z nadajnika wruci się po kablu spowrotem a wtedy spalimy końcówkę mocy.
Porównać to można z pompą wody - która przystosowana jest do podbicia wody na 2 metry a my chcemy podbić wodę na 10 metrów - pompa niby poda wodę na tą wysokość ale ciśnienia nie będzie a po czasie pompę szlak trafi.
.
IM DŁóŻSZA ANTENA TYM LEPSZY ODBIóR I NADAWANIE .
Oczy 6.11.2010/15.01.2020 [ 28.08.2012_16.30 ]
Proszę o radę kolegę specjalistę Jamszoła.
Mam Unidena 510 XL i antenę Sirio AS-100 na klapie i od jakiegoś czasu bardziej muszę podkręcać SQL bo szumi szczególnie jak szybko jadę dlatego postanowiłem do dynamka zajrzeć i rzeczywiście szczotki już się skończyły wymieniłem z całym regulatorem napięcia i jest lepiej.
ALE kumpel poradził mi żebym zamontował sobie filtr do radia i lukam na allegro są od 8 do 30zł.
Czy jest sens montowania takiego filtra szumów i który wybrać
Z góry dzięki za pomoc
Mam Unidena 510 XL i antenę Sirio AS-100 na klapie i od jakiegoś czasu bardziej muszę podkręcać SQL bo szumi szczególnie jak szybko jadę dlatego postanowiłem do dynamka zajrzeć i rzeczywiście szczotki już się skończyły wymieniłem z całym regulatorem napięcia i jest lepiej.
ALE kumpel poradził mi żebym zamontował sobie filtr do radia i lukam na allegro są od 8 do 30zł.
Czy jest sens montowania takiego filtra szumów i który wybrać
Z góry dzięki za pomoc
- Jamszoł
- Posty: 22193
- Rejestracja: 29 lip 2006, 01:17
- Lokalizacja: Kalisz
- Pojemność: 2300
- Rocznik: 2008
- Generacja: MK4
- Nadwozie: Kombi
- Kontakt:
Jak alternator produkuje szumy to lepiej kupić filtr antyszumowy (kondensator) który się zakłada na alternator + dodatkowo pociągnąć masę do klapy od bagażnika , klapy od silnika , chłodnicy idt.
Mówię o dodatkowych masach za pomocą - najlepiej przewodu miedzianego (plecionki) - porządna masa przy ruchomych częściach nadwozia zmniejsza zakłucenia a kondensatory przeciwzakłuceniowe można kupić w sklepach radiowo - telewizyjnych ; sklepach z częściami do CB radia - przeważnie w kompletach.
Mniejsze zakłucenia są także wtedy gdy antena ma pożądną masę z blacharką samochodu - dlatego przy montażu anteny można zauważyć , że podkładka pod głowiczkę anteny ma małe ząbki - które się wbijają w blachę - tak samo uchwyt do głowiczki ma śróby ze szpicami - które się wbijają w blacharę dla poprawienia masy.
Mówię o dodatkowych masach za pomocą - najlepiej przewodu miedzianego (plecionki) - porządna masa przy ruchomych częściach nadwozia zmniejsza zakłucenia a kondensatory przeciwzakłuceniowe można kupić w sklepach radiowo - telewizyjnych ; sklepach z częściami do CB radia - przeważnie w kompletach.
Mniejsze zakłucenia są także wtedy gdy antena ma pożądną masę z blacharką samochodu - dlatego przy montażu anteny można zauważyć , że podkładka pod głowiczkę anteny ma małe ząbki - które się wbijają w blachę - tak samo uchwyt do głowiczki ma śróby ze szpicami - które się wbijają w blacharę dla poprawienia masy.
Oczy 6.11.2010/15.01.2020 [ 28.08.2012_16.30 ]
-
ELpYndoL
JAMSZOŁ zamierzam kupic taka antenke jak z linka http://www.allegro.pl/item210949440_ant ... _lodz.html
co o niej sadzisz ? mam radyjko Unidena 520XL
a moze cos polecisz lepszego tylko ze musi sie to zmiescic w max 130zł 
co o niej sadzisz ? mam radyjko Unidena 520XL
- WieSiu
- Posty: 23687
- Rejestracja: 28 mar 2004, 17:41
- Lokalizacja: Wrocław
- Pojemność: 1600
- Rocznik: 1985
- Generacja: MK3
- Nadwozie: Sedan
- Kontakt:
Yanek, ja dokladnie taka mam
jezdze z niam prawie pod 190KM/h i nie spada z transportera, z mojego tez przy 180KM/h nie spada
A co do jakosci, wykonana jest bardzo fajnie, bo jest to kopia presidenta
Zbiera dobrze,byc moze az za duze bo duzo szumow trafia do radia. A rzeczywista odleglosc na ktora da sie pogadac,to mysle ze z 10KM,ale tak na prawde nigdy nie sprawdzilem.
Jedyna jej wada,to fakt,ze odpada (rozlutowuje sie) kabel przy podstawie magnetycznej,dlatego zaraz po kupnie radze zalac calosc klejem, zwlaszcza to miejsce gdzie przylutowany jest kabel miedziany z srodka kabla koncentrycznego. Jak tym klejem zalejesz,bedziesz mial swiety spokoj na dlugo,zwlaszcza ze nie lubisz lutowac
Jedyna jej wada,to fakt,ze odpada (rozlutowuje sie) kabel przy podstawie magnetycznej,dlatego zaraz po kupnie radze zalac calosc klejem, zwlaszcza to miejsce gdzie przylutowany jest kabel miedziany z srodka kabla koncentrycznego. Jak tym klejem zalejesz,bedziesz mial swiety spokoj na dlugo,zwlaszcza ze nie lubisz lutowac
Ford Thuderbird 4.6 1996
Escort 2.0 150KM LPG Cabrio 1991
Suzuki Vitara 1998 2.0 V6
Kymco Super 9 LC 2011
x Orion 1.6 79KM 1985 Automat, Lancia Phedra 3.0 204KM 2004, Windstar 3.0 148KM LPG 1997, Escort 1.8TD 90KM Van 1997, Scorpio 2.9 24v 207KM Sedan 1995, Fiesta 1.3 60KM 5D 1996, Escort 1.6 105KM 3D 1996, Escort 1.8 TD 70KM Van 1999, Puma 1.7 125KM 1998, Escort 1.8 TD 90KM Kombi Ghia 1996, Escort 1.3 60KM LPG 5D 1994/1995, Skoda 105 1984 a potem 1982
Escort 2.0 150KM LPG Cabrio 1991
Suzuki Vitara 1998 2.0 V6
Kymco Super 9 LC 2011
x Orion 1.6 79KM 1985 Automat, Lancia Phedra 3.0 204KM 2004, Windstar 3.0 148KM LPG 1997, Escort 1.8TD 90KM Van 1997, Scorpio 2.9 24v 207KM Sedan 1995, Fiesta 1.3 60KM 5D 1996, Escort 1.6 105KM 3D 1996, Escort 1.8 TD 70KM Van 1999, Puma 1.7 125KM 1998, Escort 1.8 TD 90KM Kombi Ghia 1996, Escort 1.3 60KM LPG 5D 1994/1995, Skoda 105 1984 a potem 1982